Home Publications Research Group

Fracton Spin Liquid and Exotic Frustrated Phases in Ising-like Octochlore Magnets

Matthew Stern, Michael D. Burke, Michel J. P. Gingras, Judit Romhányi, Kristian Tyn Kai Chung

For nearly three decades frustrated magnetism research in three dimensions (3D) has centered on the pyrochlore geometry of corner-sharing tetrahedra and the classical spin liquid (CSL) known as spin ice. In this work, we propose that a lattice of corner-sharing octahedra - appropriately dubbed the octochlore lattice - may provide a next-generation platform for the study of 3D frustrated magnetism, with realizations in anti-perovskite and certain potassium-fluoride compounds. We study the phase diagram of Ising spins on the octochlore lattice with first- and second-neighbor interactions within each octahedron, which displays a rich variety of frustrated phases, including CSLs with extensive ground state degeneracies, as well as phases with subextensive ground state degeneracies intermediate between spin liquids and long-range order. In addition to a spin ice CSL, we identify a novel fracton CSL with excitations restricted to move along one-dimensional (1D) lines, which is a classical U(1) analog of the celebrated X-cube model, a paradigmatic realization of fracton topological order. The existence of these two CSLs is rationalized as condensation of 1D ferro-spinons bound states from a parent phase with subextensive degeneracy due to frustration of ferromagnetically polarized chains. We also find a spin nematic phase exhibiting two-stage dimensional reduction from cubic to tetragonal (uniaxial) and finally orthorhombic (biaxial) symmetry, driven by strong fluctuations arising from deconfined 1D antiferro-spinons. This work paves the way for the potential realization of fracton CSLs and the exploration of other exotic frustrated states in real materials.
arXiv:2603.12313

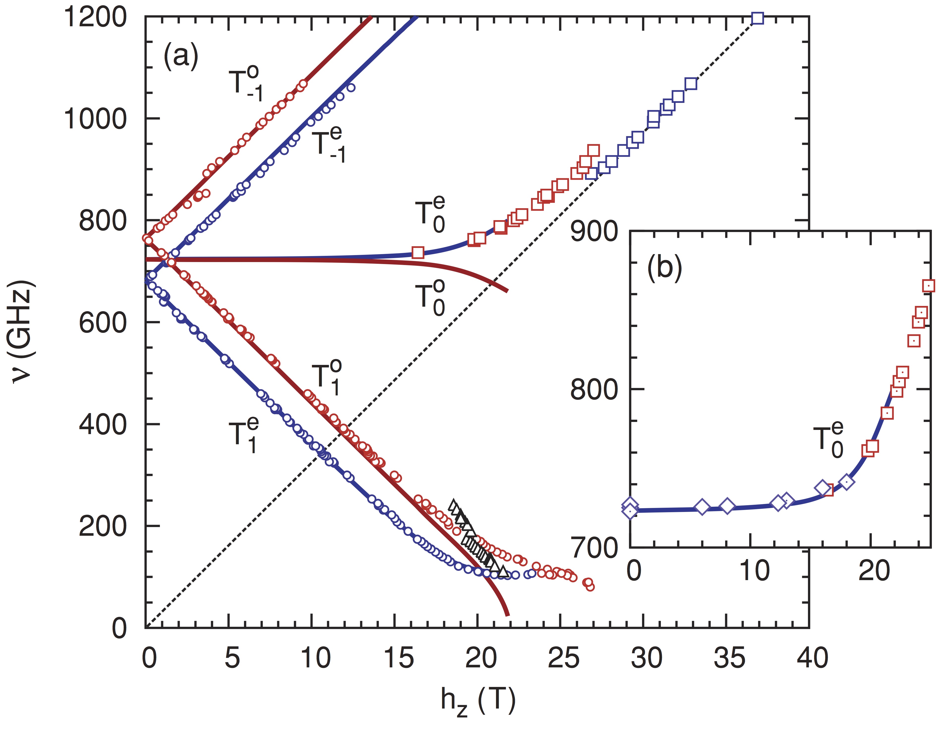
Triplet nodal lines and Chern bands in XCuCl3 (X= K, Tl)

Charles B. Walker, Matthew Stern, and Judit Romhányi

We investigate the symmetry-enforced line nodes of the triplet excitations of XCuCl3 (X= K, Tl), showing that they are protected by the nonsymmorphic symmetries and are unaffected by the microscopic details, such as interaction and anisotropy strength, as long as the ground state and the symmetry group remain unaltered. Extending the conventionally used isotropic spin model for XCuCl3, our analysis includes all the symmetry-allowed anisotropies and gives a detailed account of the role they play in the band topology of triplets. We show that the triplet line nodes carry nontrivial Berry phases and compute their Z2 topological indices. To investigate the effect of breaking the nonsymmorphic symmetry protecting the triplet nodes, we apply a magnetic field tilted away from the high symmetry (010) axis. We find that while the g-tensor anisotropy behaves as a trivial mass gapping out the triplets, exchange anisotropies supply a nontrivial momentum-dependent mass term. Analogous to Haldane's original model, the competition of these mass terms determines the nature of the band topology in XCuCl3. To enable an analytic study of the band topology we derive an effective Dirac Hamiltonian and validate it by computing the band structure and topological indices in the nodal line and gapped phases from the linear bond-wave formalism.
Phys. Rev. B (2025)
arXiv:2507.00285

Collinear Altermagnets and their Landau Theories

Hana Schiff, Paul McClarty, Jeffrey G. Rau, and Judit Romhanyi

Altermagnets exhibit spontaneously spin-split electronic bands in the zero spin-orbit coupling (SOC) limit arising from the presence of collinear compensated magnetic order. The distinctive magneto-crystalline symmetries of altermagnets ensure that these spin splittings have a characteristic anisotropy in crystal momentum space. These systems have attracted a great deal of interest due to their potential for applications in spintronics. In this paper, we provide a general Landau theory that encompasses all three-dimensional altermagnets where the magnetic order does not enlarge the unit cell. We identify all crystal structures that admit altermagnetism and then reduce these to a relatively small set of distinct possible Landau theories governing such systems. In the zero SOC limit, we determine the possible local multipolar orders that are tied to the spin splitting of the band structure. We make precise the connection between altermagnetism as defined at zero SOC ("ideal" altermagnets) and the effects of weak SOC. In particular, we examine which response functions allowed by symmetry when SOC is present are guaranteed by the spin-orbit free theory, and spell out the distinctive properties of altermagnets in comparison with conventional collinear antiferromagnets. Finally, we show how these ideas can be applied by considering a number of altermagnetic candidate materials.
Phys. Rev. Research 7, 033301 (2025)
arXiv:2412.18025

Where is the Quantum Spin Nematic?

Shengtao Jiang (蒋晟韬), Judit Romhányi, Steven R. White, M. E. Zhitomirsky, and A. L. Chernyshev

We provide strong evidence of the spin-nematic state in a paradigmatic ferro-antiferromagnetic J1−J2 model using analytical and density-matrix renormalization group methods. In zero field, the attraction of spin-flip pairs leads to a first-order transition and no nematic state, while pair repulsion at larger J2 stabilizes the nematic phase in a narrow region near the pair-condensation field. A devil’s staircase of multipair condensates is conjectured for weak pair attraction. A suppression of the spin-flip gap by many-body effects leads to an order-of-magnitude contraction of the nematic phase compared to naïve expectations. The proposed phase diagram should be broadly valid.
Phys. Rev. Lett. 130, 116701 (2023)
arXiv:2209.00010

In Situ Electric-Field Control of THz Nonreciprocal Directional Dichroism in the Multiferroic Ba2⁢CoGe2⁢O7

J. Vít, J. Viirok, L. Peedu, T. Rõõm, U. Nagel, V. Kocsis, Y. Tokunaga, Y. Taguchi, Y. Tokura, I. Kézsmárki, P. Balla, K. Penc, J. Romhányi, S. Bordács

Nonreciprocal directional dichroism, also called the optical-diode effect, is an appealing functional property inherent to the large class of noncentrosymmetric magnets. However, the in situ electric control of this phenomenon is challenging as it requires a set of conditions to be fulfilled: Special symmetries of the magnetic ground state, spin excitations with comparable magnetic- and electric-dipole activity, and switchable electric polarization. We demonstrate the isothermal electric switch between domains of Ba2⁢CoGe2⁢O7 possessing opposite magnetoelectric susceptibilities. Combining THz spectroscopy and multiboson spin-wave analysis, we show that unbalancing the population of antiferromagnetic domains generates the nonreciprocal light absorption of spin excitations.
Phys. Rev. Lett. 127, 157201 (2021)
arXiv:2101.10045

Fragility of the Z2 band-topology of triplet excitations

Andreas Thomasen, Karlo Penc, Nic Shannon, and Judit Romhányi

The discovery by Kane and Mele of a model of spinful electrons characterized by a Z2 topological invariant had a lasting effect on the study of electronic band structures. Given this, it is natural to ask whether similar topology can be found in the bandlike excitations of magnetic insulators. Time-reversal (TR) partner magnetic excitations can mimic the Kramers pairs of electrons in the Kane-Mele model but do not enjoy the same type of symmetry protection. Here, we revisit this problem in the context of the triplet excitations, which provide a faithful analog of the Kane-Mele model as long as the Hamiltonian preserves the TR×U(1) symmetry. The TR×U(1) symmetry can be thought of as a pseudo-time-reversal (PTR) symmetry that protects the Z2 band-topology of the triplets. We find that exchange anisotropies, typical in realistic models, break the required PTR symmetry and instantly destroy the Z2 band topology.
Phys. Rev. B 104, 104412 (2021)
arXiv:2012.11765

Multipolar edge states in the breathing kagome model

Judit Romhányi

Excitations of ordered insulating magnets gain renewed interest due to their potential to realize the nontrivial topological properties discovered for weakly interacting electron systems. In this paper we go beyond these parallels and explore what else is there in the unconventional excitations of quantum magnets. We study the topologically nontrivial multiplet excitations of the antiferromagnetic spin- 1/2 kagome system with strong breathing anisotropy and Dzyaloshinskii-Moriya interaction. We show that in the chiral magnetic ground state the excitations can be characterized by a spin-1/2 doublet and a spin-3/2 quartet. With the use of magnetic field we can tune the quartet through a band touching topological phase transition, when a spin-3/2 Dirac cone is formed by the touching of four bands. In the topologically nontrivial regime the spin-3/2 bands have large Chern numbers −3, −1, 1, 3. In an open system the emerging chiral edge states naturally inherit the multipolar characters and we find novel quadrupolar edge modes.
Phys. Rev. B 99, 014408 (2019)
arXiv:1801.07950

Identification of Antiferromagnetic Domains Via the Optical Magnetoelectric Effect

V. Kocsis, K. Penc, T. Rõõm, U. Nagel, J. Vít, J. Romhányi, Y. Tokunaga, Y. Taguchi, Y. Tokura, I. Kézsmárki, S. Bordács

The ultimate goal of multiferroic research is to develop new-generation nonvolatile memory devices, where magnetic bits are controlled via electric fields with low energy consumption. Here, we demonstrate the optical identification of antiferromagnetic magnetoelectric (ME) domains in LiCoPO4 based on the strong absorption difference of the domains. The unusual contrast in absorption is attributed to the dynamic ME effect of the spin-wave excitations. In agreement with the results of the THz spectroscopy experiments, two ME excitations were found characterized by oscillating magnetization and polarization. While the spin components precess in the same direction, there is a π phase shift between the polarization oscillations in the two different domains. This sign change in dynamic polarization is the microscopic origin of the directional anisotropy in LiCoPO4, offering a route to optical distinguishing between the ME domains. The control and the optical readout of AFM/ME domains, demonstrated here, will likely promote the development of ME and spintronic devices based on AFM insulators.
Phys. Rev. Lett. 121, 057601 (2018)
arXiv:1711.08124

Spin-quadrupolar excitations in Sr2CoGe2O7

M. Akaki, D. Yoshizawa, A. Okutani, T. Kida, J. Romhányi, K. Penc, M. Hagiwara

Exotic spin-multipolar ordering in spin transition metal insulators has so far eluded unambiguous experimental observation. A less studied, but perhaps more feasible fingerprint of multipole character emerges in the excitation spectrum in the form of quadrupolar transitions. Such multipolar excitations are desirable as they can be manipulated with the use of light or electric field and can be captured by means of conventional experimental techniques. Here we study single crystals of multiferroic Sr2CoGe2O7, and observe a two-magnon spin excitation appearing above the saturation magnetic field in electron spin resonance (ESR) spectra. Our analysis of the selection rules reveals that this spin excitation mode does not couple to the magnetic component of the light, but it is excited by the electric field only, in full agreement with the theoretical calculations. Due to the nearly isotropic nature of Sr2CoGe2O7, we identify this excitation as a purely spin-quadrupolar two-magnon mode.
Phys. Rev. B 96, 214406 (2017)
arXiv:1702.04158



Spin-orbit dimers in d1 double perovskites

J. Romhányi, L. Balents, G. Jackeli

We formulate and study a spin-orbital model for a family of cubic double perovskites with d1 ions occupying a frustrated fcc sublattice. A variational approach and a complementary analytical analysis reveal a rich variety of phases emerging from the interplay of Hund’s rule and spin-orbit coupling. The phase digram includes noncollinear ordered states, with or without a net moment, and, remarkably, a large window of a nonmagnetic disordered spin-orbit dimer phase. The present theory uncovers the physical origin of the unusual amorphous valence bond state experimentally suggested for Ba2BMoO6(B=Y, Lu) and predicts possible ordered patterns in Ba2BOsO6(B=Na, Li) compounds.
Phys. Rev. Lett. 118, 217202 (2017)
arXiv:1611.00646

Magnon spectrum of the helimagnetic insulator Cu2OSeO3

P.Y. Portnichenko, J. Romhányi, Y.A. Onykiienko, A. Henschel, M. Schmidt, A.S. Cameron, M.A. Surmach, J.A. Lim, J.T. Park, A. Schneidewind, D.L. Abernathy, H. Rosner, Jeroen van den Brink and D.S. Inosov

Complex low-temperature-ordered states in chiral magnets are typically governed by a competition between multiple magnetic interactions. The chiral-lattice multiferroic Cu2OSeO3 became the first insulating helimagnetic material in which a long-range order of topologically stable spin vortices known as skyrmions was established. Here we employ state-of-the-art inelastic neutron scattering to comprehend the full three-dimensional spin-excitation spectrum of Cu2OSeO3 over a broad range of energies. Distinct types of high- and low-energy dispersive magnon modes separated by an extensive energy gap are observed in excellent agreement with the previously suggested microscopic theory based on a model of entangled Cu4 tetrahedra. The comparison of our neutron spectroscopy data with model spin-dynamical calculations based on these theoretical proposals enables an accurate quantitative verification of the fundamental magnetic interactions in Cu2OSeO3 that are essential for understanding its abundant low-temperature magnetically ordered phases.
Nat. Commun. 7, Article number: 10725 (2016)
arXiv:1509.02432

Orbital reconstruction in transition-metal oxide layers

Nikolay A. Bogdanov, Vamshi M. Katukuri, Judit Romhányi, Viktor Yushankhai, Vladislav Kataev, Bernd Büchner, Jeroen van den Brink, and Liviu Hozoi

A promising route to tailoring the electronic properties of quantum materials and devices rests on the idea of orbital engineering in multilayered oxide heterostructures. Here we show that the interplay of interlayer charge imbalance and ligand distortions provides a knob for tuning the sequence of electronic levels even in intrinsically stacked oxides. We resolve in this regard the d-level structure of layered Sr2IrO4 by electron spin resonance. While canonical ligand-field theory predicts g||-factors less than 2 for positive tetragonal distortions as present in Sr2IrO4, the experiment indicates g|| is greater than 2. This implies that the iridium d levels are inverted with respect to their normal ordering. State-of-the-art electronic-structure calculations confirm the level switching in Sr2IrO4, whereas we find them in Ba2IrO4 to be instead normally ordered. Given the nonpolar character of the metal-oxygen layers, our findings highlight the tetravalent transition-metal 214 oxides as ideal platforms to explore d-orbital reconstruction in the context of oxide electronics.
Nat. Commun. 6, Article number: 7306 (2015)
arXiv:1604.07780

Subharmonic transitions in electrically driven spin resonance

Judit Romhányi, Guido Burkard, András Pályi

We theoretically study coherent subharmonic (multiphoton) transitions of a harmonically driven spin. We consider two cases: magnetic resonance (MR) with a misaligned, i.e., nontransversal, driving field, and electrically driven spin resonance (EDSR) of an electron confined in a one-dimensional, parabolic quantum dot, subject to Rashba spin-orbit interaction. In the EDSR case, we focus on the limit where the orbital level spacing of the quantum dot is the greatest energy scale. Then, we apply time-dependent Schrieffer-Wolff perturbation theory to derive a time-dependent effective two-level Hamiltonian, allowing us to describe both MR and EDSR using the Floquet theory of periodically driven two-level systems. In particular, we characterize the fundamental (single-photon) and the half-harmonic (two-photon) spin transitions. We demonstrate the appearance of two-photon Rabi oscillations, and analytically calculate the fundamental and half-harmonic resonance frequencies and the corresponding Rabi frequencies. For EDSR, we find that both the fundamental and the half-harmonic resonance frequencies change upon increasing the strength of the driving electric field, which is an effect analogous to the Bloch-Siegert shift known from MR. Remarkably, the drive-strength-dependent correction to the fundamental EDSR resonance frequency has an anomalous, negative sign, in contrast to the corresponding Bloch-Siegert shift in MR which is always positive. Our analytical results are supported by numerical simulations, as well as by qualitative interpretations for simple limiting cases.
Phys. Rev. B 92, 054422 (2015)
arXiv:1504.06081

Hall effect of triplons in a dimerized quantum magnet

J. Romhányi, K. Penc and R. Ganesh

SrCu2(BO3)2 is the archetypal quantum magnet with a gapped dimer-singlet ground state and triplon excitations. It serves as an excellent realization of the Shastry–Sutherland model, up to small anisotropies arising from Dzyaloshinskii–Moriya interactions. Here we demonstrate that these anisotropies, in fact, give rise to topological character in the triplon band structure. The triplons form a new kind of Dirac cone with three bands touching at a single point, a spin-1 generalization of graphene. An applied magnetic field opens band gaps resulting in topological bands with Chern numbers +/-2. SrCu2(BO3)2 thus provides a magnetic analogue of the integer quantum Hall effect and supports topologically protected edge modes. At a threshold value of the magnetic field set by the Dzyaloshinskii–Moriya interactions, the three triplon bands touch once again in a spin-1 Dirac cone, and lose their topological character. We predict a strong thermal Hall signature in the topological regime.
Nat. Commun. 6, Article number: 6805 (2015)
arXiv:1406.1163

Magnetic interactions in Cu2OSeO3

M. Ozerov, J. Romhányi, M. Belesi, H. Berger, J.-Ph. Ansermet, J. van den Brink, J. Wosnitza, S. Zvyagin, and I. Rousochatzakis

The recent discovery of skyrmions in Cu2OSeO3 has established a new platform to create and manipulate skyrmionic spin textures. We use high-field electron spin resonance with a terahertz free-electron laser and pulsed magnetic fields up to 64 T to probe and quantify its microscopic spin-spin interactions. In addition to the previously observed long-wavelength Goldstone mode, this technique probes also the high-energy part of the excitation spectrum which is inaccessible by standard low- frequency electron spin resonance. Fitting the behavior of the observed modes in magnetic field to a theoretical framework establishes experimentally that the fundamental magnetic building blocks of this Skyrmionic magnet are rigid, highly entangled and weakly coupled tetrahedra.
Phys. Rev. Lett. 113, 157205 (2014)
arXiv:1404.7319

Spin-stretching modes in the multiferroic Ba2CoGe2O7

K. Penc, J. Romhányi, T. Rõõm, U. Nagel, Á. Antal, T. Fehér, A. Jánossy, H. Engelkamp, H. Murakawa, Y. Tokura, D. Szaller, S. Bordács, I. Kézsmárki

We studied spin excitations in the magnetically ordered phase of the noncentrosymmetric Ba2CoGe2O7 in high magnetic fields up to 33 T. In the electron spin resonance and far infrared absorption spectra we found several spin excitations beyond the two conventional magnon modes expected for such a two- sublattice antiferromagnet. We show that a multiboson spin-wave theory describes these unconventional modes, including spin-stretching modes, characterized by an oscillating magnetic dipole and quadrupole moment. The lack of inversion symmetry allows each mode to become electric dipole active. We expect that the spin-stretching modes can be generally observed in inelastic neutron scattering and light absorption experiments in a broad class of ordered S > 1/2 spin systems with strong single-ion anisotropy and/or noncentrosymmetric lattice structure.
Phys. Rev. Lett. 108, 257203 (2012)
arXiv:1202.3996



Magnetization induced electric polarization in Ba2CoGe2O7

J. Romhányi, M. Lajkó, K. Penc

We investigate the spin induced polarization in the multiferroic compound Ba2CoGe2O7 using variational and finite-temperature mean field approaches, with the aim to reproduce the peculiar behavior of the induced polarization in a magnetic field observed experimentally in Murakawa et al. The compound is usually described by a spin-3/2 Heisenberg model extended with easy-plane anisotropy and Dzyaloshinskii-Moriya (DM) interaction. By applying a magnetic field parallel to the [110] axis, three phases can be distinguished in this model: (i) At high magnetic field, we find a partially magnetized phase with spins parallel to the fields and uniform polarization. (ii) Below a critical field, the ground state is a twofold-degenerate canted antiferromagnet, where the degeneracy can be lifted by a finite DM interaction. (iii) At zero field, a U(1) symmetry-breaking phase takes place, exhibiting a Goldstone mode. We find that extending the Hamiltonian with an antiferroelectric term results in the appearance of a canted ferrimagnetic phase for h~1 T. This phase is characterized by a finite staggered polarization, as well as by a magnetization closing a finite angle with the applied field leading to torque anomalies.
Phys. Rev. B 84, 224419 (2011)
arXiv:1110.0788

Supersolid phase and magnetization plateaus in anisotropic spin-3/2 Heisenberg models

J. Romhányi, F. Pollmann, K. Penc

We consider effect of exchange and easy- plane anisotropies on the formation of magnetization plateaus and supersolid phases in spin-3/2 system on unfrustrated bipartite lattices. In the Ising limit, when the off-diagonal exchange interaction J is zero, the phase diagram in magnetic field is characterized by magnetization plateaus that are either translationally invariant or have a two-sublattice order, with phase boundaries that are macroscopically degenerate. We showed that when the off-diagonal exchange interaction J becomes finite this degeneracy is lifted and new gapless superfluid and supersolid phases emerge. All the plateaus continuously evolve from the Ising limit, and the degeneracy of the boundaries in the Ising limit gives a hint on the order of the phase transition and on the nature of the gapless state. Not surprisingly, our variational calculation shows that the supersolid phases are concentrated around the plateaus that break the translational symmetry. The variational approach is complemented by a density matrix renormalization group study of a one-dimensional chain and exact diagonalization on small clusters of a square lattice. The studied model may serve as a minimal model for Ba2CoGe2O7, and we believe that the vicinity of the uniform 1/3 plateau in the model parameter space can be observed as an anomaly in the measured magnetization curve.
Phys. Rev. B 84, 184427 (2011)
arXiv:1109.4078

Magnetic excitations of SrCu2(BO3)2

J. Romhányi, K. Totsuka, K. Penc

We studied the magnetic properties of SrCu2(BO3)2 based on the Shastry–Sutherland model extended with anisotropies. The possible form of the anisotropies, such as the Dzyaloshinskii-Miriya (DM) interactions and the g-tensor anisotropy, follow from the symmetry properties of the material. We used a bond-factorized form of the variational wave function to study the effect of the anisotropies on the ground-state properties in phases that are compatible with the crystallographic unit cell comprising two orthogonal dimers in the presence of an external magnetic field. We have found that in the less symmetrical, low-temperature structure of SrCu2(BO3)2, the finite intra-dimer DM interaction gives rise to an admixture of triplet and the singlet states changing the dimer singlet phase. To study the effect of anisotropies on excitation spectra we developed a bond-wave formalism based on the bosons representing the entangled states of the dimers. With this approach we recovered the experimentally measured electron spin resonance spectra for a physically reasonable set of parameters.
Phys. Rev. B 83, 024413 (2011) arXiv:1010.4476